The essence of Forex Strategy «Mid» very, very simple:
Look at the picture — all should be clear already from it:
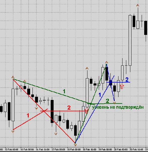
1) line number 1 — a sort of «guide», she tells us to be open trading position — to buy or to sell.
Her features from the previous maximum top (or bottom or top).
It should be made to the middle of the next wave in the chart (For simplicity, the definition of mid-wave can easily be used Fibonacci level — 50%). This «mean point» or a 50% Fibonacci on the schedule and will provide for us the level of penetration and candle closing above or below it will signal the opening of trading positions.
2) The level2 of penetration is shown in the examples, as the line number 2.
If the rail line is pointing up and points to buy, then the level of penetration, respectively, must penetrate buy-curve candle.
(!) And, this nuance is important: it is imperative to wait until the closing price of the candles, and even at the opening price the next bar to enter the market.
With sell candle done a same thing, only the level of penetration should break the candle on the sell.
In Figure 2, you can see real cases on the currency pair USD / CHF at 4-hour price chart. To trade using the best trading platform MetaTrader 4, the graphs which is very easy to produce graphic layout and construction. Red arrows indicate the entry point into the market (at the opening price candles).
Stop-loss is best to place or under the previous minimum of 2 nd wave (for positions on the Buy) or a maximum of 2nd wave (for positions Sell).
Take-profit at the request of either putting on haya census 2 nd wave, or just use a trailing stop, which can be very profitable, and better to just swap to zero and if the sample is the maximum of the second wave and the price has gone further, trailing with trailing stop at a safe distance (depending on the interval at which you are trading forex strategy at «middle» works on all currency pairs and all time-frames) or close the income from your hand when you wish, or simply close the 50% position, and the remaining 50% already trail.
Report on Trade Expert Advisor Forex ZigZagProfiter_3_0-pair USDJPY (interval M15):

Report on Trade Expert Advisor Forex ZigZagProfiter_3_0-pair GBPUSD (interval H1):





